教育和考试
生命与健康
教育活动
教育信息与传播技术
数字生活
爱好和娱乐
教育行业新闻
研究
特别节目和连续剧
ReseMom(JP)
询问
公司简介
隐私政策
Language
JP
/
CN
教育和考试
生命与健康
教育活动
教育信息与传播技术
数字生活
爱好和娱乐
教育行业新闻
研究
特别节目和连续剧
ホーム
›
教育和考试
›
初中生
›
文章
›
照片/图像
【2026年高中入学考试】千叶县公立高中普通选拔志愿情况(截至2月5日)县立船桥高中(理科数理班)2.23倍 3枚目の写真・画像
教育和考试
初中生
2026.2.5 Thu 19:01
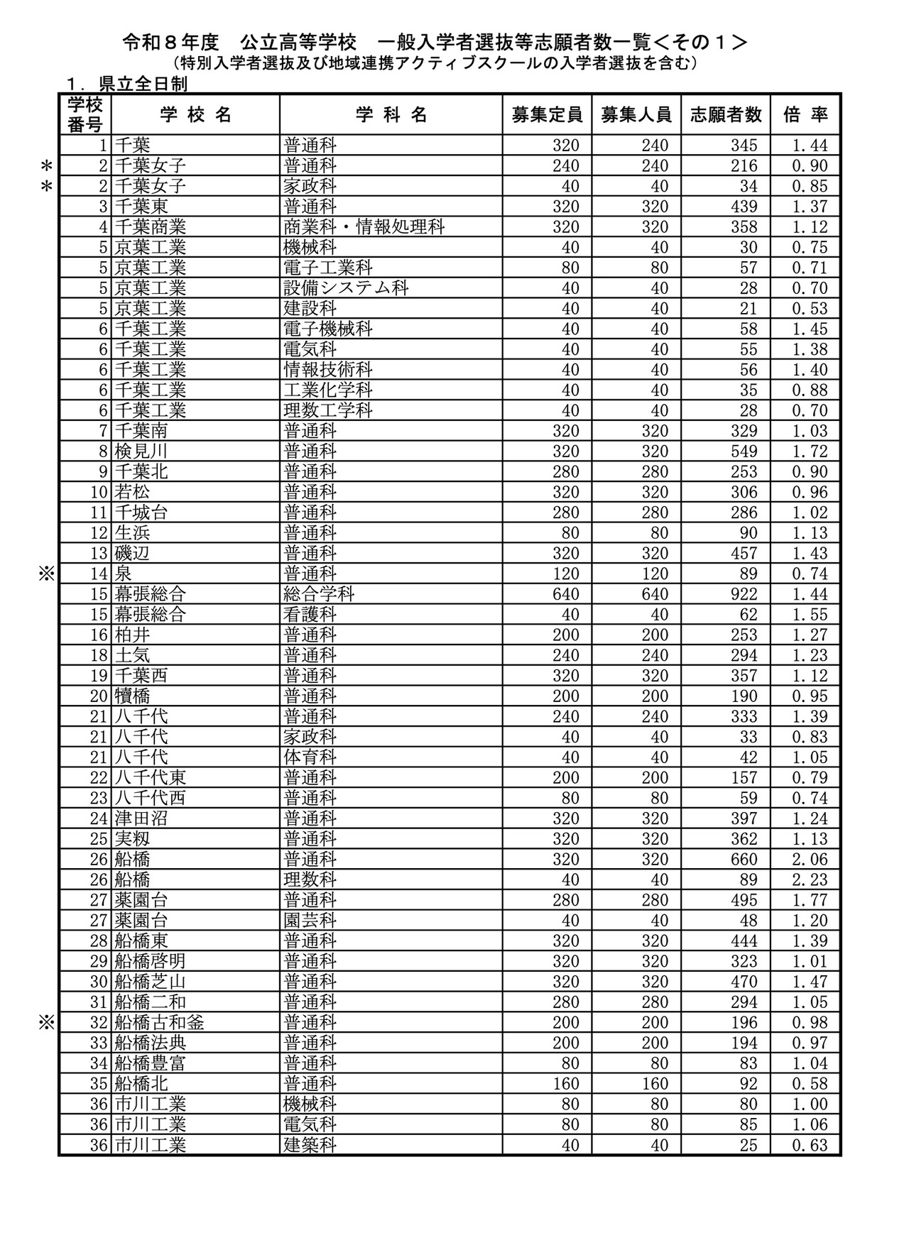
画像出典:千葉県教育委員会「令和8年度公立高等学校 一般入学者選抜等志願者数一覧」
県立全日制
画像出典:千葉県教育委員会「令和8年度公立高等学校 一般入学者選抜等志願者数一覧」
県立全日制
画像出典:千葉県教育委員会「令和8年度公立高等学校 一般入学者選抜等志願者数一覧」
県立全日制
画像出典:千葉県教育委員会「令和8年度公立高等学校 一般入学者選抜等志願者数一覧」
県立全日制
画像出典:千葉県教育委員会「令和8年度公立高等学校 一般入学者選抜等志願者数一覧」
市立全日制
画像出典:千葉県教育委員会「令和8年度公立高等学校 一般入学者選抜等志願者数一覧」
县立定时制
返回本文
3/6