千叶县教育委员会于2026年2月5日公布了2026年度(令和8年度)千叶县公立高中入学选拔的普通入学选拔等志愿情况(志愿变更前)。全日制课程的志愿倍率为1.11倍,定时制课程为0.66倍。
2026年度千叶县公立高中普通招生、特别招生、地区合作活跃学校招生及通信制课程一期招生,于1月13日至2月2日受理网上报名信息登记,2月3日至5日中午受理书面申请材料。千叶县教育委员会在申请截止当日(2月5日)公布了实时报考情况。
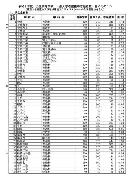
普通招生选拔涵盖全日制课程124所学校199个专业、定时制课程16所学校16个专业。全日制课程招生名额28,880人,实际报名32,135人,报考倍率为1.11倍(较上年下降0.03个百分点)。定时制课程招生名额1,237人,实际报名820人,报考倍率为0.66倍(较上年上升0.09个百分点)。
全日制中志愿倍率最高的是船桥(理数)2.23倍,定时制中最高的是松户南(普通下午部)1.42倍。此外,全日制志愿倍率较高的还有:东葛饰(普通)1.93倍、小金(综合)1.89倍、药园台(普通)1.77倍、市立千叶(理科数理)1.75倍、检见川(普通)1.72倍、市立船桥(商业)1.59倍、市立千叶(普通)1.57倍、幕张综合(护理)1.55倍等。升学指导重点校的志愿倍率为:千叶东(普通)1.37倍、船桥(普通)2.06倍、船桥(理数)2.23倍、柏(普通)1.18倍、柏(理数)1.35倍、佐仓(普通)1.51倍、佐仓(理数)1.68倍、佐原(普通)0.92倍、佐原(理数)0.55倍、匝瑳(综合)0.85倍、成东(普通・理数)0.99倍、长生(普通・理数)1.24倍、安房(普通)0.91倍、木更津(普通)1.39倍、木更津(理数)1.38倍。一般入学者选拔将于今后2月10日及12日下午4点前受理志愿或志愿变更申请。学力考试定于2月17日及18日举行,补考安排在2月26日,合格名单将于3月3日公布。







