教育和考试
生命与健康
教育活动
教育信息与传播技术
数字生活
爱好和娱乐
教育行业新闻
研究
特别节目和连续剧
ReseMom(JP)
询问
公司简介
隐私政策
Language
JP
/
CN
教育和考试
生命与健康
教育活动
教育信息与传播技术
数字生活
爱好和娱乐
教育行业新闻
研究
特别节目和连续剧
ホーム
›
生命与健康
›
其他
›
文章
›
照片/图像
流感再度流行,超过1万所学校停课 3枚目の写真・画像
生命与健康
其他
2026.2.17 Tue 19:01
画像出典:厚生労働省
流感与新型冠状病毒肺炎定点监测点报告数变化趋势(全国)
画像出典:厚生労働省
流感定点监测点报告数·按都道府县分类
画像出典:厚生労働省
流感定点监测点报告数变化趋势
画像出典:厚生労働省
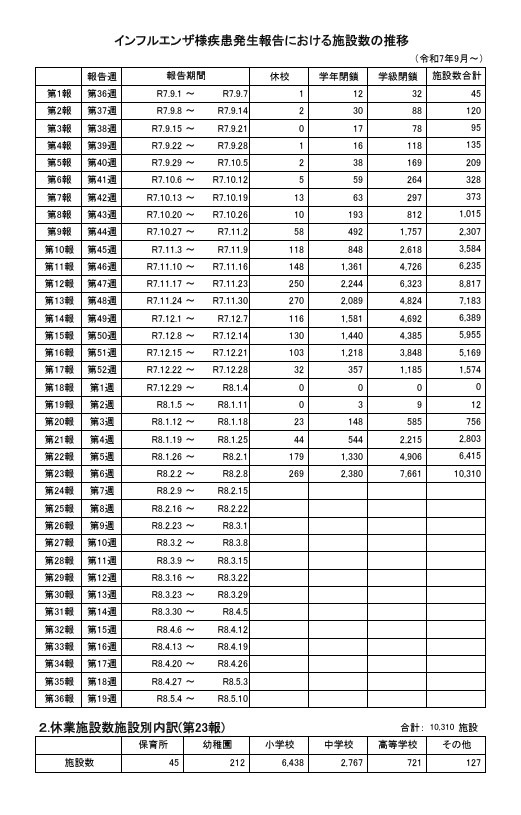
流感样疾病发生报告中医疗机构数量的变化趋势
返回本文
3/4